Sampling and Inference Fundementals

Lecture 8

Dr. Elijah Meyer

NC State University
ST 511 - Fall 2025

2025-09-15

Checklist

– HW-1 grades are released

> email Nick and I if you have any questions

– HW-2 released today (due Sunday at 11:59pm)

> your repo is called homework-2
> we will look at the number of commits you have

– Quiz released Wednesday (due Sunday at 11:59pm)

– I wrote up a resource on random variables / probability distributions on our website! Check it out.

Warm-up

What do we mean by population?

What do we mean by sample?

Warm-up

Population - β€œcomplete set”, or every possible observational unit of interest

Sample - a subset of data collected from a larger population

Warm-up

What’s a ranodm sample?

Why do we care?

Warm-up

Random sample - subgroup of observational units selected from a larger population where every unit has an equal chance of being chosen

– Helps ensure observations are independent

– Helps ensure observations are representitative of the larger population

Warm-up

What’s the difference between a probability distribution and a sampling distribution?

Warm-up

A probability distribution describes the set of all possible values a random variable can take and the probability of each value occurring

A sampling distribution is essentially the probability distribution of a statistic (like the sample mean or sample proportion) from all possible samples of a given size.

Goals for Today

– More with random variables, probability distributions, and sampling distributions

– Sampling schemes

– Inference (Hypothesis Testing)

Example

Let X = the number of minutes a college student plays video games in a week. Assume that X is distributed normal with a mean of 60 and a standard deviation of 20.

– What does 60 mean? What does 20 mean?

– How do we write mathematically how X is distributed?

Example

What probability are we calculating? How can we write this out in mathematical notation?

Questions?

Sampling

Gettysburg Address (3-minutes)

– Pick 10 random words

– Take the mean

– Report it

Sampling

Let’s talk about different sampling schemes

– Simple random sample

– Systematic sampling

– Convinence sampling

(more complex techniqeus later)

Random sample

Advantages

– Helps us assume independence

– Helps us generalize to a larger population

Disadvantages

– It’s really hard… could be difficult to actually target a truly large population of interest

Sampling Schemes

– Random sampling βœ”οΈ

– Systematic sampling

– Convinence sampling

Systematic sampling

A probability sampling technique where you select participants from a larger population by choosing a random starting point and then selecting every nth individual from a list or sampling frame

Advantages and disadvantages

Advantages

– Helps us assume independence

– Helps us generalize to a larger population

Disadvantages

– Risks bias if the population has a hidden periodic pattern

– Need to know your entire sampling frame

Types of sampling

– Random sampling βœ”οΈ

– Systematic sampling βœ”οΈ

– Convinence sampling

Convenience sampling

Convenience sampling: a non-random sampling method where participants are selected based on their availability, willingness, or ease of access

Can be useful in certain situations (observational studies)… but

– non-representative

– sampling bias can occur

Questions

Hypothesis Testing

  1. Set up a null and alternative hypothesis (let’s talk about this)

  2. Collect data

  3. Check assumptions

  4. Analyze data

  5. Make decisions and conclusions

Context

We are going to test to see if a coin is fair!

coin applet

Let’s collect data

Assumptions

For our hypothesis test, we need to check the following assumptions:

– Independence (do we satisfy this condition?)

– Normality

Normality

– n* \(\pi_o\) > 10

– n* (1 - \(\pi_o\)) > 10

Do we satisfy this condition?

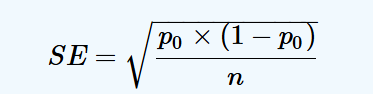
Sampling Distribution of p-hat

What is the standard error of the sampling distribution?

Note: The standard deviation of the sampling distribution is called the standard error!

p-value

Replace test_stat, null_mean, ect with the appropriate values

Z-distribution

Decisions and Conclusions

– Decisions are always in terms of the null

– Conclusions are always in terms of the alternative

Typically, researchers use fixed level testing \(\alpha\).

What is \(\alpha\)?

Questions?